
계산은 제미나이를 활용했습니다.
우선, 첫 번째 시도에는 범위가 X.1% ~ X.0%로 총 20개중에 하나가 걸리며 이때 확률은 1/20이고 다이아는 소모되지 않습니다.
추가 시도는 다이아 3개부터 시작이며 확률이 1/20부터 시작해 추가 인챈트 11회부터는 확률이 1/10으로 고정되고,
다이아는 2개씩 기하급수적으로 증가합니다.
확률이 고정되기 이전인 상황 ( 인챈트 11회 ) 까지의 기댓값을 계산하면, 
대략 23.5개의 다이아 소모가 나옵니다.
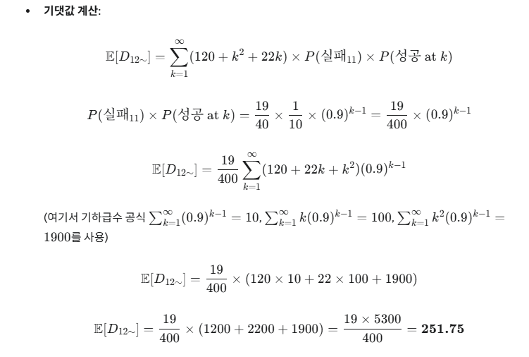
그 다음은, 확률이 고정된 이후인 12회 시도 이후의 기댓값을 계산해보면
11회까지 모두 실패할 확률을 전제 조건으로 계산해야합니다.

12회 이후에 성공할 다이아 기댓값은 251.75개 입니다.
최종 기댓값은
1~11회 에 성공할 다이아 기댓값 + 12회 이후에 성공할 다이아 기댓값을 합하여 계산합니다.
따라서, 23.5125 + 251.75 = 275.2625
한 단계 인챈트당 기댓값은 275개 정도 나옵니다.
이 때, 첫 번째 인챈트는 보통 여러개의 잡 장신구에 3.0%을 붙인 다음에 승계하여 진행하므로
총 9번의 인챈트를 진행하므로
9를 곱하면 대략 2477개의 다이아가 나옵니다.
추가로, 
한 단계 인챈트당 기댓값은 275개 였는데, 3부터의 홀수를 다 더할때 275에 가장 근접한 숫자는 33이었고, 이때 다이아의 합은 288이었습니다.
추가 인챈트 하실 때, 33다이아까지는 본전 언저리 라고 생각하시면 될 것 같습니다.
모두 인챈트 억까 안당하시길 바라겠습니다.....
계산 과정에 있어서 오류나 이상한 점이 있다면 쓴소리 해주시면 감사히 받겠습니다 :)